Big in North Korea (3. veljače 2015. godine)
Dogodi mi se da zažalim što se bavim poslom kojim se bavim. Pogotovo kad po tko zna koji put uvidim šta se sve u hrvatskoj
znanosti događa, koliko je premrežena korupcijom i raznim političkim utjecajima, koliko se sredstva netransparentno i posve
pristrano usmjeravaju i u kojoj mjeri su atmosfere na znanstvenim institucijama neljudske i gnjile.
No, ipak mi ponekad bude i drago što se bavim znanošću. Dogodi se to kad se oduševim nečime što sam vidio, nečim što sam razumio ili
pročitao i kad vidim da ipak još ima ljudi koji vole znanost, i to ne kao područje afirmacije, na kojem će moći skupiti nagrade
i medalje, nego zbog strasti. Strasti za spoznajom. Ima toga i danas! I sretni su oni od nas koji još poznaju takve ljude.
A ponekad mi bude drago što tu i tamo netko i pročita što napišem i to ga inspirira da i on / ona ode dalje. Evo, neki dan pročitah
članak >> "Asymmetric electrostatic properties of an electric double layer: a generalized Poisson-Boltzmann approach taking into
account non-uniform size effects and water polarization", od Jun-Sik Sin-a, Song-Jin Im-a i Kwang-Il Kim-a, objavljen u časopisu
Electrochimica Acta, 20. siječnja ove godine. Članak je zanimljiv i jer njegovi autori dolaze iz Sjeverne Koreje, a institucija u
kojoj rade zove se Kim Il Sung University (Daesong District, Pyongyang, DPR Korea). Kad razmišljamo o Sjevernoj Koreji, obično
razmišljamo o politici, ratu, zamišljamo kako je ljudima tamo živjeti, kakav je to režim, koliko je u njemu slobode i koliko su ljudi
indoktrinirani. Rijetko zamišljamo da postoji tamo i neka znanost, neki sjeverno-Korejci koji misle slično kao i ja, prebrojavaju
konfiguracije konačno-protežitih iona da bi izračunali entropiju, a onda to sve povezuju s polarizabilnošću vode i Poissonovom jednadžbom.
Njihova strast je slična mojoj. Premda dolazimo iz posve različitih okružja, o mnogočemu bismo mogli razgovarati.
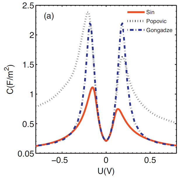
I tako, ispituju sjeverno-Korejci "Popovićev model" (slika ispod je iz njihovog rada) i prolaze kroz mnogo toga kroz što smo
i Marko Popović i ja prolazili, samo koji mjesec prije nego što će Marko otići na doktorski studij u Dresden. Za one koje slučajno zanima,
>> evo Markovog i mog rada.

U Ukrajini je rat, svi smo naučili gdje su Donjeck i Harkov. Ali i tamo ima znanosti, naravno. Pa u Harkovu je jedno vrijeme radio >> Lav Davidovič Landau, a djeluju ljudi i danas. U ožujku prošle godine, kad se rat zahuktavao, M.S. Barabashko, M.I. Bagatskii i V.V. Sumarokov eksperimentalno su testirali teoriju koju sam ja predložio još 2002. godine. Njihov preliminarni rad dostupan je >> ovdje, za sve one koji su voljni čitati ruski i ćirilicu. Pitam se ima li u tome što je rad na ruskom političke poruke? Ne znam, ali znam da je usporedba njihovih mjerenja (kružići, slika ispod) i moje teorije (linija, slika ispod) vrlo zadovoljavajuća, barem za mene koji znam koliko je aproksimacija u modelu koji sam predložio (ako koga slučajno zanima, >> ovdje možete pročitati moj članak). Meni dobro!

>> Szent-Gyorgyi je rekao:
Izjava je, naravno, neumjereno idealistična, a sam Szent-Gyorgyi se često nije držao osnovnog moralnog pravila (vidi npr.
moj tekst >> O strasti za znanost), no ima u njoj trunčice istine, ili barem ideala
kojemu bismo mogli stremiti. Sudeći po mom poznavanju znanosti, tom će idealu trebati najduže da se ostvari u Hrvatskoj.
I za kraj, za ovu priliku bacio sam pogled na autore koji me citiraju (u ISI WoS bazi podataka), isključujući članke na kojima sam sebe
citiram, te sam ih sortirao prema zemljama iz kojih dolaze (ispod). Najviše je, naravno, Amerikanaca i Nijemaca, ali ima i iznenađujuće
mnogo Iranaca, Čileanaca, jedan Južno-afrikanac, Vijetnamac, Armenac, a i jedan Kubanac. Šareno društvance (osvježeno na dan 4. studenog 2016. godine)
- USA (175)
- GERMANY (75)
- PEOPLES R CHINA (43)
- CROATIA (37)
- ITALY (35)
- SPAIN (33)
- FRANCE (31)
- SLOVENIA (28)
- ENGLAND (22)
- ISRAEL (18)
- SWEDEN (17)
- POLAND (16)
- RUSSIA (14)
- UKRAINE (14)
- JAPAN (13)
- NETHERLANDS (13)
- IRAN (12)
- CANADA (11)
- AUSTRIA (9)
- INDIA (9)
- FINLAND (8)
- SCOTLAND (8)
- SOUTH KOREA (8)
- BRAZIL (7)
- TAIWAN (7)
- BELGIUM (6)
- MEXICO (6)
- SWITZERLAND (6)
- CHILE (5)
- ARGENTINA (4)
- AUSTRALIA (4)
- BULGARIA (4)
- ARMENIA (3)
- DENMARK (3)
- IRELAND (2)
- PORTUGAL (2)
- ROMANIA (2)
- VIETNAM (2)
- WALES (2)
- CUBA (1)
- EGYPT (1)
- ESTONIA (1)
- HUNGARY (1)
- LITHUANIA (1)
- LUXEMBOURG (1)
- NORTH KOREA (1)
- SAUDI ARABIA (1)
- SOUTH AFRICA (1)
- SERBIA (1)
- SERBIA MONTENEG (1)
- SLOVAKIA (1)
- TURKEY (1)
| << Loši lijekovi | Teleologija oblika >> |
Zadnji put osvježeno 4. studenog 2016. godine